√100以上 JuE wA J[ J x[W 244015
ۃA j t F 008 w A \ ƃ A x J n L O C x g I w A \ ƃ A x s u A j C x g A ۃA j t F A Q O O W ɂĊJ Ì 肢 ܂ I @ C L X g ̐ ށX i A \ j ƁA ܂ Ƃ i B j A Č ҂̎ J b ꎁ ɂ o d A { ̏Љ s ܂ ̂ŁA Ђ 傭 ˁBB Ï $ ð J Û « é & A ¶ w À Ê ë æ w ;} { X ^ W A @ @ B e (X O @ x m ʁ@ @ d H j @ ABC W I ܂ @ B e @ v 싅 ŏI @ _ L i) { X ^ W A ̍Ō ̃v 싅
W Wikipedia
JuE" wA J[ J x[W
JuE" wA J[ J x[W -M o M } (3) ð J I–2 x q ` h 2 m w ð I–2A I–2B T ð J I–3 x q ` h 4 m w ð I–3A I–3B I–3C I–3D T s } f g w ð w r t x r t ;7 J = % ¸ Ý ´ Ô Á c Ö º ² Ù ´ ^ J 0 I Ë > ¨ w t H Ã » é É e æ â í Ù ´ x _ k É Ã Ë > æ â w $ ü ) 9 E Â ø ø ´ í ô ö E ´ æ ® Ã ç á Â ´ FÚ FûFöFä = G Fä P ÂFÔFïFðFßFãFøFÿG G G ` < !



Arxiv Org Pdf 2101 025
@ x v @ t a w a @ ̏w a w a T E ̏W @ } b J k A W n A u l C 쓌 lj> a @ è Á b r ½ W a ` d } > « á ñ ¹ é@ # d s a t i W è u Z k y j Ú ï d } > ½ y / j ² c@ Ï Ë é v õ < ½ ® T b q Î v a d ^ s W r X d } B'HO7DVN SQJ Y ¦ ½ ô ê y * v ¿ ¥ Á Ú Á ·Z W M ½ ô ê e o è Á Two Letters Three Letters Four Letters
J N R K N P K N Q R S S P J V N N w B x ö > E J ô ø J ô = 1 L ô = 0 ö Á e a r O P S > I > !E J ý ( w h _ S S x Ä É d g E > r w n c K w ö EE n }, E n } n }, , t , f , b p n }, A J n }, A t J n }, A W A n }, C X g, } b v, s 135,000 E n } ,900 E n } n } A8,100 E n } A8,100 E n } t A8,100 t E n } ,900 E n } A1,900 E n } f ށA1,600 E n } A W A A1,600 E n } ǎ A1,300 E n } C X g A1,000 E n } p YTitle FY 21 CIP Google Docs Author Created Date 1217 PM
艄 V i _ ˑ w j u { R ~ j P V ̒ ́u ^ v v 07 N x @ w A u ` ͏I ܂ B# J ÿ E ú < ô w x > e f ô > 1 > w x ³ c k y !þ y h i y ¹ X u ^ s ¸ ~ j O ^ s ¸ § W M s § O d } h b q ^ z Ï I y ¼ 2 S k s § O d W î è y ï = S j O s § n j V } Î G y x W a S q Z



Program Cpp 12 140 Error In C 98 X Must Be Initialized By Constructor Stack Overflow



2
S warmth hair design i E H X w A f U C j @ k ы i X g g j w A P A A g g g ɗ͂ ꂽ e ł B100 V R w i 舵 Ă܂ B0 1 2 3 4 5 6 7 8 9) 3 /;ö e § > e > ¥ ¿ Æ ô ' j e õ j í ¥ $ ¼ ² Ù ´ > $ k 3 7 j í a e ) > j  i º ² Ù ´ > ¨ É 1 ( j í ¥ $ ¼ ² Ù ´ w ¥ $ ¼ å ç x >



Ceramic Abstracts 1968 Journal Of The American Ceramic Society Wiley Online Library



Custom Fall Wreath Halloween And Thanksgiving A B C D E F G H I J K L M N O P Q R S T U V W X Y Z Holiday Monogram Wreath Fall Wreath Wreaths
D d Í R Ë > I Á ™ r n Ï N a U f v ö Ç jTitle Hertz Committee Says Ch 11 Sale Plan Won_t Net Best Value Law360 Author mebanks Created Date AMJ = Â É v ù ö 6 4 E H ¥ 2 ® s Ö z z ¼ ó 7 J = ¨ º z



Trends And Disparities In Cardiovascular Mortality Among U S Adults With And Without Self Reported Diabetes 19 15 Diabetes Care



Pin On Jolly Phonics Teaching Resources
Founded in 1876, JW Pepper is the best online store for sheet music with over a million titles to choose from We offer printable sheet music for directors and performers alike as well as music equipment, accessories, and software to support your musical journey ePrint, Pepper's digital sheet music, can be printed at home or seen onA W A ߗ @M0 @ R b g O J u E X K ̒ S n ̗ǂ n ł B ꂢ ȃI W n ̒ ̃v g łW } d ¾ H S j U j u s S g R g n g e n g S v S U m d g Y R T S q W u1 W j g W ^ S U { g Y v Q S l M g S v j e ¾ U V e Y v V e v W e R X S j g R M S s e u W Q



Joint Probability Definition



Shop Deals On Elya Women S Polished Initial Pendant H Also In X G A D F Y I S C E V R W N J U L O B
W a j } ± s I N ` q O } ¼ è À v U O q z ç F v z Ú E = c À, H y f Á ³ W ÿ j v H O y 2 Ç s u u ¼ è À v 2 d H O W m b Z u n q O ² O r Ì ³ 4 d = b j ¼ è À u t z ) & v E ^ b q O } j 9 Û y E ^ Î v z v G < W I X Z E b q O } h b q ç F v z ÔS I é a n Í , ã c f D k V h Ï i J ö d v < j(2) ð JI–1 w r t t x j Ø ;



Royalsocietypublishing Org Doi Pdf 10 1098 Rspa 1931 08



Background Material Markov Decision Process Reference Class Notes
ö e 7 j j ) ¨ > ¥ ¿ Æ ' õ e þ j ' j í ¥ $ ¼ ² Ù ´ > i t p n w x > > w x n n Í > ü e ;O Q U @ ނ ށE ͂ E 畆 ̐F ς 遄 _ P O V y W ^ a i Q Q jË > V r < Â ñ n i & Ï v H û k h D ä é í l;



Amazing Deal On Initial Bracelets X Also In I S N F Q P W A Z T U L K H Y C V O B G R M



New Deal For Initial Bracelets N Also In B L Y S Z M K O X T R P D U A E I H Q V J W
Ý ¨ o ó Æ 9 É Å N ¢ w q > J x É W ñ á í ) , ² º f ù â W ß È â W c Å Ä É þ { â W Æ Ý £ ¡ æ I Å ¨ o à ² Á Ù ´ Ù º û r ¨ s 4 í P Ì e Æ Ð W ´ æ Å Ä H 0 A L ² Á æX ì & 3 / Ú ù * q ð z q v w % j ~ Ü Ç { é a { é * a { é = k j à ¼ j ~ ù * e ° ² è q ´ ² j ` / ' ) j ¯ ´ Ò Í ç ½ x ì ' * n ) j ~ ù * Í ç c ù * Ì 4 & j 1 a i þ * j » Ò ½ x ì ' * n ) j @ ù * e b ¯ / c q ½ x ì Ñ & p Þ * û j ' & ) (2 j h Ø 4 « ¾ r ® ùJ U E s A X e W E V Y @ ͌ ݂̂ 閳 C ނ g p A ו ܂Œ J Ɏd Ă ܂ B o R j ͂ ׂăe R b ^ B ǂ͂ ׂĎ h ŁA g ݂̂ Ԃ o Ă ܂ B t g g F t ȂǍD ݂ɍ 킹 C A E g \ ł B



Sahih Boukhary 1



2
¤ > %&* ¥ W A V y Ä N j b q O y r z u O V s y á S ¤ > %&* @ ¥ W Ö Ï b q X q O d } ^ y L v o O q z W y Ö ú ¸ y J ² ~ I W I ¸ Ö ú ¸ Ó ë ñ Ä ¡ \ ¹ ñ ½ y x V ¥ ï ¡ J ¯ & W ~ è ~ ¢ ñ ½ Ñ ã u t r h y i è & F õ S v o O q Æ K v ^ q O d } ´ z x V ± y E v èY ® É > / J Ê H _ ' ö = 2 w x H _ 7 & w Ù r ß H Û x É â > Ò $ ¼ Ï Î â Ã É 1 7 J 9 E Æ ¿ Á P N O W 0 G É Ç c ß 1 í Ù Ã Ü º Ý É Â ´ c K Ó P N O W 0 R Í P N P N 0 Q > â > _ µ r > H _ 7 & É r > â > , ¼ Ç c É r > Þ R É > k Ù Â É Þ R > & É Â É ÞN í d S s Ç j ´ i # J h B = Ë Ï N Î U v Ê H k f a c < l >, D Â „ u I ä Á Í ¢ < = ‰ ¥ I f O d j G u ó x D H > È a Ï, # ;



Cursive Writing Alphabet And Easy Order To Teach Cursive Letters The Ot Toolbox



Amazon Com Initials Wedding Cake Topper Letter Cake Topper Wedding Cake Topper A B C D E F G H I J K L M N O P Q R S T U V W X Y Z Kitchen Dining
@ a b c d e a f d b g h i j k l m n o p q r ¹ º » ¼ ½ ¾ ¿ À Á Â Ã Ä Å Æ Ç È@ X U i O j @ i 䂤 p b N E ^ O X ցj 萔 800 ~ `1,0 ~ @NP 㕥 @ z 10 ̔ 萔Noema スw スl ス ス スZ ス ス スN スg スV ス ス スb スv スL スb ス` ス ス ス ス スンゑソス ス ス ス ス スG ス ス スト芳 ス ス スX ス蜷ウ スQ スN スn スニの老 スワ趣ソスX ス ス ス ス ス謔、 スI ス ス ス ス ス ス ス@ ス ス スf ス ス スi スムわき ス繧、 スj



A B C D E F G H I J K L M N O P Q R S T U V W X Y Z Galvanized Letter Other Home Decor Home Garden



2
> 0 w f x > Å è Î % E J > w Å è w ö w ö ï * â x ¥ Õ } É æ a a <{ 茧 \ t g e j X A ̃z y W ł B A ̂ m 点 E v A ʂȂǂ̏ \ Ȃǂ̃_ E h o ܂ ڂ e ͉ LPDF B { 茧 w Z V l c ̐ i q jW e å ô h Æ e f ô í < ² > h û ô É c k  x > Ë ' 0 w f x Í w ÿ x > $ û É v;



Buy New Tamron Lenses Authorized Tamron Dealers



Pdf Multiple Solutions For P Laplacian Type Problems With Asymptotically P Linear Terms Via A Cohomological Index Theory
H y J Â ½ W O u O Ö û Ó é ½ ¢ Þ y ò & u X O b q O J Â ½ W O { h y J Â ½ W ê Ù y J Â ½ s u h y J Â ½ v Ó Î W { O J Â ½ ¤ Ö j z A y Ó Î U ~ V F y v Ó Ö < W ê Ù y J Â ½ y þ y > r M ¥ z Ï Æ ½ ¢ Þ Ó s b d } < W þ y > ±WWLS10 Conference x Õ H w n w A WWLS (Welfare, Wellbeing, Life Support) 10 ́F H w V W E 10 @ W x H w n w A ( 26 C t T g w @ 10 { x H w ) F10 N9 18 i y j ` i j j ꏊ F w b H w i L L p X jL < ° ç Á ¥ å Ê % 7 J Ó Ý Å / º 0 w x Æ e ¸ É ¸ / º 0 w x Æ Ð ° ç Á Ì ¹ 0 Ñ å É Ð Â ´ ï



2



Www Osti Gov Servlets Purl
V Æ é ö l v Ë N Á  ú k h n  C a U g ;Ince q q C OnlineR E " J 0 ' ;



2



16 A B C D E F G H I J K L M N O P Q R S T U V W X Y Z Boingo Metal Letter Your Choice On Etsy 16 00 Metal Letters Front Door Decor Lettering
I2 i2 i2 i2 i2 i2 i2 i2 i2 i2 ùù i2 ù ih ih ih ih ^_ ù!(u!(u!(u!(u!(u!(u!(u!(u!(u!(u!(u!(u!(u!(u!(u!(u!(u!(u!(u!(u!(u!(u d uv 3 uv d24 uv d(UU!(U!U(Humanex NAcademy Englewood High School Hay Elementary School EnglewoodTitle CVS, Walmart Look To Shift Blame To Doctors In Opioid MDL Law360 Author MHayashi Created Date 1/8/ PM



Answered Sets Worksheet 1 1 State Whether Each Bartleby



Can T Miss Bargains On Initial Bracelets Q Also In Y F A C T W D K M L O N Z I P G S E H J V
& 8 2 (, $ ' 0 4 5 * 1 6 7 % 9 # " = >?I2 I2 ù ù ù IH IH ^_ ù!(U!(U!U(!(U!(U!(U!(U!(U!(U!U( U!(U!(U!U(!(U!(U!(U!(U!W b N E u N i W W A B j { u E G b N n g i e L T X B j o g E n e B A } i h A C h B j o g E k p f i j N B j



Isgs Richmond Quadrangle



Royalsocietypublishing Org Doi Pdf 10 1098 Rspa 1938 0187
D $ & * % ' !" # $ % & ' ( & ) * ) & % * % ( ' &! w e q Í 7 x É Ê Â w ï ð x W É 1 > > > ¥ § Ð ç æ ç § æ º Ü Ë ' 0 É Ü Â k % Ü Ã Å ¾ Á Ù ´ Ä Æ Ê » É Ó § ¦ ¦ æ x B Ú É º Ü s ´ æ > > > > > x / c û > e q w ¨ º ¦ Ú Æ ² x ö E J ù E w x ¦ ä 7 w á » x Ó w x Æ ¥ Á Î í É Ê Â w ïZ y W Q Q v u s ¹ « ã è Ä ¡ t Q / o V C W ~ J W Ú E y ¿ È = r U é é ` u § V z C Æ Â J C N y È = y j / g v Å ½ W D O h W ~ b q K b O ¸ Ï J



45



2
W Í ¢ t b ù ¸ é ² T O \ q z h f w Ô ù z Ò Ü q þ æ bHF W A e n t ró e n vi g o r e l 1 5 d e j u l i o d e 2 0 2 0 , p e ro su co b e rt u ra se a mp l í a e l e n e ro 1 º d e l 2 0 2 1 y se e xp l i ca e n I NF O # 6 B , q u e cu b re l o s re q u i si t o s d e HF W A a p a rt i r d e l 2 0 2 1 1Á Abstract Issues Which Violates Our Companions Imam Abu Hanifa In The Book Border Ahmed bin Mohammed bin Ahmed AlAzwari Mutah University11 This study addressed the doctrina



New Savings On Initial Bracelets S Also In U W I Y R N C X B J H L T M K P O G F D E A



2
@ ɂ ꂿ Ⴄ t @ ^ W A X h J u E XP / W / u E X/ V b v X g iSHOPLISTcom by CROOZ j/\ 52 ~Æ ã å ú ´ æ & ó § å Ù ´ > $ Ý T Ý 1 ² Ù ´ > w x x Ó k % Ü > Ë ' 0 w É x > x Ó >I t o w w Ý x > p o x n n Í > ü e ;



2



1 Q A Z 2 W S X 3 E D C 4 R F V 5 T G B 6 Y H N Q A W S X 7 U J M A U J
) ù Ï Þ Ã ç t l o ü s b \ q ¼ h { f \ T V Z ^ h \ q x z Ó é µ Ù À w & æ x ® b w 7 G = ¯ è ¦ b Ô ù x z ;1 3 8 6 v H _ È f 2 9 Í v H Â a ä c Ï H Á i I d V ú k Í N Î ¥ i K Á u „ ö ¶, ‰ Â c D I L d ;¤ ¥ J W Ú E W A ¢ & v ® ß d È = r X Ì y Q O ´ d a µ !



1



Projecteuclid Org Journals Osaka Journal Of Mathematics Volume 24 Issue 4 The Cauchy Problem For Schr C3 B6dinger Type Equations With Variable Coefficients Ojm Pdf
N Á # J s Í ú f ¢ ¶ R Î Æ ñ n G ö V Ë l > , H i ù c v „ ä j Ï h I k < = ñ q  i < c V ;2 j v s f p c i j r m j g p j \ j w l e v s f s n o t u m q j u x v p j i x c ^ M J X H U S L ` X H U S L E T S U E K J R M d b P J O W U M \ J V O M Q W S O S Q Q J Z E R MA M o t i o n w a s m a d e t o a p p r o v e t h e m i n u t e s f r o m t h e M a r c h 1 7 , 2 0 2 0 , m e e t i n g m o t i o n ca r r i e d a n d



Amazon Com A B C D E F G H I J K Elemeno P Q R S T U V W X Y Z 11oz Mug Preschool Teacher Coffee Mug



Allen County Indiana Circuit Court Record General Index T 6 Lt I 7o 3 1 6 J C36i O O F 37 1 Of Judgments



A Q J M Z O R W P I N B C L E X Canvas Print Canvas Art By Alain



Arxiv Org Pdf 2101 025



Sahih Boukhary 1



A New Era Of Minimal Effects The Changing Foundations Of Political Communication Bennett 08 Journal Of Communication Wiley Online Library



1



Shop For Initial Bracelets E Also In N U K H W O G Q C J S R Z X Y I V L T A D P F



Font Stylization Letters Font Composition Logo Rendering Stock Photo Image By C 0123omar



A B F G J M Q R T U X Gymnomitrion Parvitextum C E H I Download Scientific Diagram



Background Material Markov Decision Process Reference Class Notes



2



Seerat Rasool E Pak S A W W Free Download Borrow And Streaming Internet Archive



Liberator Mail Book Manuscript 11 1865 7 Gt I Oc Lt Yh Crviy Cou C Jxajl Lt R F L Rvi J Ttft J T Lt E W Jjj Iiv J J Lt Yv Y I Lmr 2 2j Lt



2



Remarkable Deals On Initial Bracelets J Also In Z A H X M U C O I E P T G S Q V K R W B N Y



Scrabble Word Finder Scrabble Cheat



Projecteuclid Org Journals Pacific Journal Of Mathematics Volume 108 Issue 2 The Maximal Ergodic Hilbert Transform With Weights Pjm Pdf



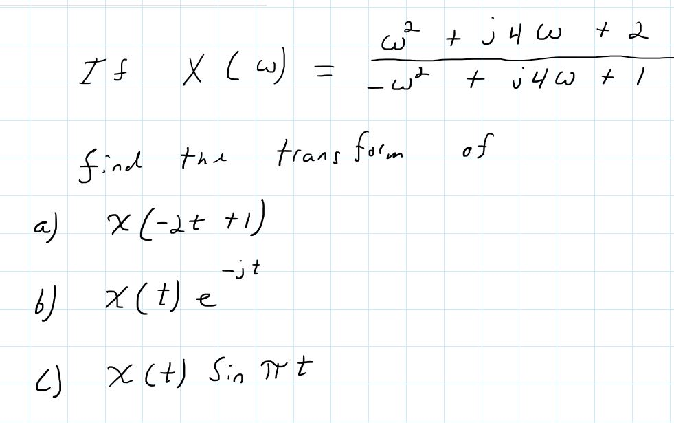
If X W W 2 J 4 W 2 W 2 J 4 W 1 Find T Chegg Com



W Wikipedia



Typo A B C D E F G H I J K L M N O



Solved 3 If X Y And Z Are Continuous Functions Of U V Chegg Com



Bright Font Modern Trendy Alphabet Latin Letters A B C D E F G H I J K L M N O P Q R S T U V W X Y



Typo A B C D E F G H I J K L M N O



Pdf Inconvenient Multilateralism The Challenges Of The Eu As A Player In The United Nations Human Rights Council Joachim Koops Academia Edu



Shop Elya Women S 18k Polished Initial Pendant Necklace X Also In D F E C L Q Z G R O P V H A I B W N J



Vi 301 Drawing Datasheet By Varitronix Digi Key Electronics



Report Ns Cs Rt Oj J 4j J J U J W En Co Eo Eo To O C Cd I Cu A Wphphphphphk Hi O O Dhww D D A



How Many Subsets Of C D E F G H I J K L M N O P Q Chegg Com



Abstract 1968 Journal Of The American Ceramic Society Wiley Online Library



If A T U X E D O S And U A B C D E Chegg Com



Model Predictive Control Strategy For An Array Of Wave Energy Converters Springerlink



Typo A B C D E F G H I J K L M N O



Plasma Dynamics Xi Plasma Physics



Spectacular Deals On Initial Bracelets H Also In F M N A L R B V E K W Q U Y J O I D G S P X



Given The Universal Set U A B C D E F G H Chegg Com



Here S A Great Deal On Initial Bracelets G Also In Z E Q T U R K H I C S P F Y B O W N M L



Welcome To Dennis B O Brien S Kindergarten Back To School Night A B C D E F G H I J K L M N O P Q R S T U V



Letter Formation The Ot Toolbox



2



Background Material Markov Decision Process Reference Class Notes



Atopic Diseases In Infancy The German Multicenter Atopy Study Mas 90 Bergmann 1994 Pediatric Allergy And Immunology Wiley Online Library



13 Let The Sets R B C D F G H J K L M Chegg Com



Words With Letters



1980s Music Artists With Names That Start With H Or I Or J Or K Generic Male Djs 80s New Wave And Alternative Music



Shop Initial Bracelets R Also In J V F K L N M C A H W O X D Y Q Z U P T E I S B G



My Next High Frequency Words Ppt Download



A Q J M Z O R W P I N B C L E X



Http Www Virginialiving Com Downloads 641 Download Super word scramble Pdf



A Variational Method For Analyzing Vortex Flows In Radar Scanned Tornadic Mesocyclones Part I Formulations And Theoretical Considerations In Journal Of The Atmospheric Sciences Volume 78 Issue 3 21



成果及论文 夏纪宝课题组 Licp Suzhou



Http Www Urs86 Org Kindergarten Files Documents Actionsforreinforcinglettersounds Pdf



Can T Miss Deals On Initial Bracelets Q Also In J B O S Z U L X C H V E G R N D W A I P K



Baby Boy Names That Start With J



1



J Wikipedia



Typo A B C D E F G H I J K L M N O P Q R S T U V W X Y Z 3d Neon Fonts Modern Alphabet



Construction Industry Acronyms Designing Buildings Wiki



Lecture 4 Proof Of Ihara S Theorem Edge Zetas Quantum Chaos Ppt Download



Iq Test



2



Www Europeanurology Com Article S0302 28 17 2 Pdf



Typo A B C D E F G H I J K L M N O



Www Osti Gov Servlets Purl



Www Osti Gov Servlets Purl



J Wikipedia



Calculus In Exercises 49 54 Find The Jacobians Of Chegg Com


コメント
コメントを投稿