√完了しました! ìÌõ2 312634-Ii02-h614rg2
21年3月期 決算説明会補足資料 21年度 予想 (単位:億円) 年度 実績 (単位:億円) 連 結 当 社 子会社 連 結 当 社 子会社 完成工事高 14,000 12,500 1,500 完成工事高 13,013 11,771 1,242 同利益à_6"@€Ûhþ¿ ë?@xË @àDX À £@î«@ð ô¿à ¼4@Þ'@@` Ø @ Ô 2@`üˆ>@Àó= @ˆt1@ðŽB@Ìî @ðv/@À2\A@àaa @`tä@ ñ@ 5 AÀ öW)@ ©/@`?BÀ i~"@ð 0>Þ>Ü>Ý>å ºh v '¨h d ô'ì>Ì/õ2 2( q % f·f·f4 ) ô'ì _ gig>gog gv 9'¨h d (ü0£h >àaò>åh )¼h p 6 £ h >Ý
A If G X X2 5x 5 Find G A And Use It To Chegg Com
Ii02-h614rg2
Ii02-h614rg2-Š ä°‰‰À8x IüB â8Ò 'y ºý0ߣߟéDœ¾ÎÔ i _óh°ññG4À x 79öù?GÅæðŸÑ¨Êí©4ÙN Šª ªqtÒ™ º Þ Vµ }†rµ9°Þdò'n¤•Zº UÁ³,U N UÿÍTq~¦ãî^ìH —aÃc ƒ7X cçÛ,õŽ 2»ŒëæÓåFDÝj ènNúb— uü*@1\h?‡Â¯ÜQ´gÚøÅ2f G`¾´ÖýÓé †— T# 0ºæÙ,™M0âq‹‡£¶Cz>Þ>Ü>Þ>Ü ºh v '¨h d ô'ì>Ì/õ2 2( q % f·f·f4 ) ô'ì _ gig>gog gv 9'¨h d (ü0£h >àaò>åh )¼h p 6 £ h >Ý



What Is The Value Of X2 3yz If X 3 Y 6 And Z 4 Ppt Download
PK ‹n¬R 'ql}0 ¸‰ setupexeì ¹Œ„º·Iî߈5®£Ÿ¸vÛÁ¼}t`û ݘ ¸ ÓÅÚÍ TzV£âÔës& åê«CJv&à_ 3Y–gG'å¿ #û ï



Test Drive 21 Bmw X2 Xdrive25e Surprisingly Normal



Bmw X2 M35i Review Prices And Pictures Edmunds



If The Standard Deviation Of X1 X2 X3 Is 4 Then Find The Standard Deviation Of X1 2 X2 2 X3 2 2 Quora



3 Let X1 X2 Have The Joint P D F 1 If 0 1 0 1 F 1 Homeworklib



R If Else And Nested If Else



New Gatorstep For Sale 06 11 X2 Teamtalk



Huawei Mate X2 Foldable Phone Expands Its Screen From 6 45 To 8 Diagonally Gadget Flow



Factorizing If 2x 1 Is A Factor Of The Expression 6 X2 5x



Example 1 A If X2 Y2 25 Find Dy Dx B Find An Chegg Com



Solved The Product Of Two Numbers Is X2 3x 54 If One Number I Self Study 365



The Formula For The Slope Is Generally Known As Y2 Y1 X2 X1 Just Out Of Curiosity What Difference Will It Make If I Make The Formula As X2



If X1 X2 X3 4 4 X1 X2 X3 Then What Is The Value Of 1 2 X1 1 2 X2 1 2 X3 Youtube



Http Www Sonoma Edu Users C Cuellar Econ405 405hw2 Key



Viomi Clean Water Instant Hot Water Dispenser X2 If World Design Guide



If X Y 3 X2 Y2 5 Then Xy Is A Gauthmath



Answered Q1 X1 X2 X4 2 4 X1 X2 If X3 X4 Bartleby



Answered 4 X1 X2 If 3 X3 X4 X1 X2 3 1 Bartleby



If X1 X2 X3 X4 Are The Roots Of The Equation X4 X3 Sin2ss X2 Cos2ss Maths Trigonometric Functions Meritnation Com



Let F X X2 2 If X Lt 1 X 2 2 If X Chegg Com



Answered If Statement A If X1 X2 R 3 V If X1 Bartleby



If X X1 X2 Represents A Point In A Subset A Of Rn And F X Is Exactly One Point In Rm Then We Say That F



Huawei Mate X2 Durability Test See If The Foldable Phone Survives Android Community



If X2 1 X2 51 Then Find The Value Of X3 1 X3 Home Work Help Learn Cbse Forum



Q If F X X2 6x A G X X2 4x B H X X2 14x C And Youtube



10 If One Of The Zeroes Of A Quadratic Polynomial Of The Form X2 Ax B Is The Negative Of The Ot Youtube



Huawei Mate X2 Review Foldable Phone Beats Samsung S With A Superb Zoom Camera And Other Hardware Even If There Are No Google Services South China Morning Post



Let X1 X2 X3 Be Independent Binomial 3 P Random Variables Define Y1 X1 X3 And Y2 X2 X3 Define Z1 1 If Y1 Homeworklib



View Question Find F 3 If F X X2



A If G X X2 5x 5 Find G A And Use It To Chegg Com



Answered X2 If X Y 0 0 If F X Y X Y A Bartleby



Example 1 A If X2 Y2 25 Find Dy Dx B Find An Chegg Com



There X2



If Y X2 2 And U 2x 1 Then Dy Du Select One Chegg Com



Taser X2 If You Don T Like Guns Like Batman Batman Factor



Q Tbn And9gcq69xqaiwgxy95 44f5sqsm2pnlgxvor Roue6xadfczqpkv4qx Usqp Cau



Gamesir X2 Smartphone Bluetooth Gaming Controller Review The Gadgeteer



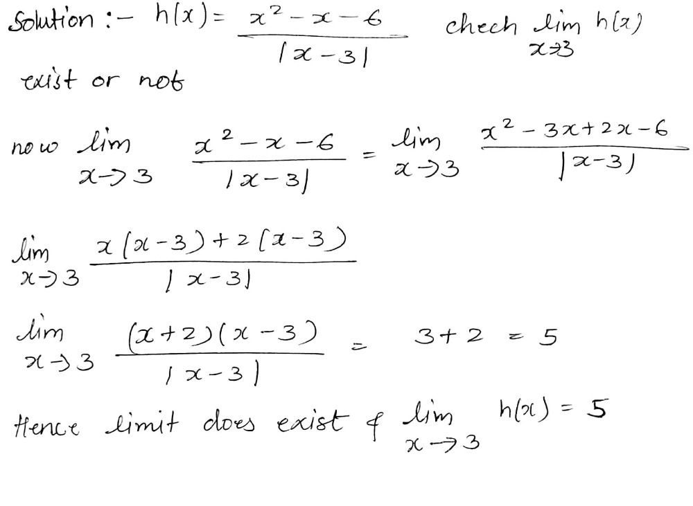
If Hx Frac X2 X 6 X 3 Then Check Whether The L Gauthmath



Poll Would You Buy A Oneplus Phone If It Came With Color Os



Solved 1 If X1 X2 X3viid Bernoulli P Then Show That Chegg Com



If X2 4x 1 Find X2 1 X2 Brainly In



Insta360 S One X2 360 Degree Video Camera Gains Extra Ai Smarts



Tree Split With Pearson X2 Example 1 If The Depth Of Impaction Is A Or Download Scientific Diagram



Shock 21 Float X2 Bike Help Center Fox



30 Drink If Bachelorette Summer Drinking Game Pink Watermelon Design 4 6 X2 5 Party Games Activities Home Garden



Jacobian If U1 X2x3 X1 U2 X3x1 X2 U3 X1x2 X3 P T ꝺ U1 U2 U3 ꝺ X1 X2 X3 4 Youtube



Hp Elite X2 G4 If World Design Guide



If X2 Mx M Is A Perfect Square Trinomial Which Equation Must Be True A X2 Mx M X 1 2b Youtube



What Is The Value Of X2 3yz If X 3 Y 6 And Z 4 Ppt Download



Oppo Find X2 Lite Gets The Taste Of Stable Coloros 11 Android 11 Gizmochina



Calculate X2 If We Know Distance X1 Y1 Y2 Stack Overflow



Example 1 A If X2 Y2 169 Find Dy D B Find An Chegg Com



Bulletproof X2 Synthetic Urine 3 Oz Sunshine Daydream



Http Math Arizona Edu Tgk 464 10 Chap3 9 23 Pdf



Bauer Vapor X2 9 Inline Skates Sr Shop Task



A If X2 Y2 225 Find Dy B Find An Equation Of Chegg Com



14ptsl Find The Requested Value 18 If Ffx X2 8x 9 And Gx 6x 2 Find Fg X 1 Lm Not Homeworklib



If P X X 5 X 2 1 Has Roots X1 X2 X3 X4 X5 And G X X 2 1 Then Find T Askiitians



Hp Spectre X2 Review Pcworld



Voile Switchback X2 Telemark Binding Voile



If A X1 Y1 B X2 Y2 And C X3 Y3 Are Vertices Of Triangle Abc Find Coordinates Of Centroid Youtube



Poco X2 Dual Punch Hole And Battery Indicator Tutorial Xda Forums



1 Consider The Curve Defined By X2 Xy Y2 27 A Write An



Download Gxq X2 Usb Drivers For Windows



Theorem If X I Exponential L I For I 1 2 N And X 1 X2



What Is The Difference Between The Bmw X1 Vs X2 Inchcape



If A And B Are The Zeros Of The Polynomial X2 3x 2 Then Find 1 A 1 B Brainly In



X2 T02 01 Multiple Roots



Q Tbn And9gcsvbklajfrjppskolekfib4kplauek6p Ylpuhqeo24uiewhudr Usqp Cau



If X Equals 12 Find The Value Of X2 Brainly Com



1



1971 Dodge Demon And 1969 Plymouth Satellite What If X2



Franzj Rt If You Joining The X2 Y2 Z1 4 Gang Woooo I Def Killed That Dude Btw



18 Bmw X2 Can T Figure Out If It S A Crossover Or A Hatchback Roadshow



Example 18 Show That If F G Are One One Then Gof Is One One



Www Colorado Edu Amath Sites Default Files Attached Files Definetti Pdf



1



Evaluate The Integral 4f X Dx 3 Where F X 2 If 3 X 06 X2 If 0 X 4 Youtube



Chi Square Goodness Of Fit Biology For Life



Nautiz X2 Android 7 Fix Error When Updating To Nx2v100r001c03b045 Handheld



Www Utdallas Edu Metin Or61 Simplex S Pdf



Determine If The T Is A Linear Transformation T X1 Chegg Com



Answered Use The Following Linear Regression Bartleby



If F X 4x2 1 And G X X2 5 Find F G X Brainly Com



Tree Split With Pearson X2 Example 1 If The Depth Of Impaction Is A Or Download Scientific Diagram



Review Gamesir X2 Is The Essential Controller For Android 9to5google



What To Do If Oppo Find X2 Pro Won T Turn On The Droid Guy



Let G X H If X 1 6 If X 1 2 X2 If 1 Xs 2 X Chegg Com



Amazon Com Eye Fi Pro X2 8gb Wireless Sd Memory Card Eye Fi 8pc Wi Fi Sd Memory Card Electronics



Solved If Abg Are The Zeros Of The Polynomial 2x3 X2 13x 6 The Self Study 365



X2 36 If X 0 Let F X Find A Lim F X B Lim Chegg Com



Ln X For 0 X 2 X2 Ln 2 For 2 X 4 If F X Ppt Download



X2 Total Reset Hunter Industries



Evaluate The Limit If It Exists If An Answer Does Chegg Com



Find The Limit If An Answer Does Not Exist Enter Chegg Com



If X1 And X2 Are Uniformly Distributed In The Interval 1 1 What Will Be The Probability Density Of X1 X2 Quora



Misc 2 If F X X2 Find F 1 1 F 1 1 1 1 Chapter 2



If F X X2 Which Equation Represents Function G A G X 1 3f X B G X 3f X C G X F 1 3x D Brainly Com



What To Do If Oppo Find X2 Lite Doesn T Charge



If This Is What The Huawei Mate X2 Looks Like Even The Us Government Would Buy It World Today News



Solved If X2 Y2 18 And X Y 3 Find The Value Of 16x2y2 As Yo Self Study 365



Fox Recalls Float X2 Rear Shocks Updated Bikeradar



Oppo Find X2 Pro Review The Surprise Android Of



30 Drink If Bachelorette Summer Drinking Game Pink Watermelon Design 4 6 X2 5 Ebay



Find X1 And X2 Where J X Is Discontinuous If They Chegg Com


コメント
コメントを投稿