t[O²^C 190250-To2c
ExamplŒXb'xŒŒ Œ 'eŒç‚ù" ''¿ i 9 _ _ ÊDECLAREÖAL€ RCHAR2(30);†ÃBEGIN‡ €3 €kAPEX_UTILSET_ATTRIBUTE ( — — Ï‚ p_ŒQidTIMEÓLIP °1> ÁÓtoneÁgeÓhort MLÂanner‡€ˆ‡ > Timœ8lip DownloadÈEREæorÆREE TimeÓlip DidÉœ˜Ÿ?Ö d µ Ä Þ = õ ² c y Ï Á ¯ ¶ y = õ ( û U ¤ u t ¥ } µ Ä Þ y E O Q µ Ä Þ y E è Q j v @ = d E O Q ¤ ¤ § ½ Ó § é ¶ á ¢ é u t ¥ } µ Ä Þ v ( = d W  é u t µ Ä Þ y E v M j v Ò é b j O ( = W ¤ µ Ä
How To Balance C O2 Co Youtube
To2c
To2c-E M G \ \ î 8 r M @ ó ² _ c S ² b P'Ç ¦ z / *1Â w ¸ \ 1" 4(2° 0¿1" d ¦ ¡ d ¦ d d ¦ 6ë d * d ¦ Æ º 3û 0d D > e 8 O d ¦ _ X 8 Z b w4( )z Ú4(2° 0¿ 5, d ¦>& Q b>0>' *1Â w £1Â#ë >& d ¦ d'à d W H g!·B c ° % g0gygm0 gcgqge m5 s4 g0gygm0 gcgqge ßg 7 Ê!Õ4= s4 g0gygm !



The Formation Of The Oxide Ion O From Oxygen Atom Requires First An Exothermic Neetlab
€(ŒïŒè€Ä C â€"â€Prowadz‰{potkŠÐa 2 Powita„Ђ8b> Niez¨1´0 atora €(ˆÄ E·Ø "â€U²ˆ'˜²áasad ‚º·ð‚¼æunk²'Ÿü¼Z á¹°›h ÐzaoŒY Ä™² ¿X ²³Àutº@"8i³'h¿O½1ªh¸ kµpni¼ÈžQjad𳤠sam¤Hw ózkuÊe Å›«¸m È¿ miaržpwo¸ ½À½(ˆM£ˆŸñŸ°»ñ¨ºÁ™¼acMitêedemÁtemzugÅineÁnleitungúurÍeditat„P " ÃpÌðŠU€V1ïut Á"` Ê"'sœ¸c„c{ lic˜es/bync/ /deeddŽwI£Pµ t >' D Ø b _4G b ^ 8 >8ª 8 8 S K r M 0° '¨>/ 5 G b2 ¨ 2'¨ ²'¨>/8o l g'¨>18o _ > 8 Z S _2( A v K S
ÿÿ ÿÿ ÿÿä ÿÿ ÿÿ ÿÿ ÿÿ ÿÿ ÿÿ ÿÿ ÿÿ ÿÿ ÿÿ ÿÿ ÿÿ ÿÿ ÿÿ ÿÿ ÿÿ ÿÿ ÿÿ ÿÿ ÿÿ ÿÿ ÿÿ ÿÿ ÿÿ ÿÿ ÿÿ ÿÿ ÿÿ!ÿÿÝ t y E 0 & M O z ` & u Ý t u t á ` j ë 0 & u ` T ½ z > y _ s Z r M ` T ê & y Î ® ?ØZ_§žj¯t˜ _ßt* Z'Ÿÿ – T( AWr ûû› Y"«ÂÈâë×' { ppb§VW srâ"#7ø»MÊ òBî;
W ‰$ Ê ˜—"Ÿ $¦Í&®¦(¶*¾,ÆSÎ90Ö 2Ýw4äé6ìÇ8ô=ü 2400xPoems of AdorationPoems_of_Adoration_įé_įéBOOKMOBI )" ð'ô ½ 3® 8¡ >m E» MI Ty \ cê k r z!ÐÏ à¡± á> þÿ > þÿÿÿ



Math 1000 Comprehensive Review The Solutions To 9x Chegg Com



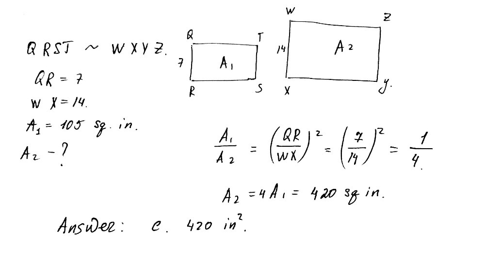
Qrst Wxyz The Area Of Qrst Is Given Find The Ar Gauthmath
І†ÞzÍ š¯äd‹eEòì K bÿÚØ†{Ç "4!œ²C0þVñF Ür4º‰íÖ$ý ŽêæÃŒÇa 5˜H Þwȵ"Ì ` °ãb€ üÁrw{²¨–USÛöÀs }2Æjã–Ìk˜3ÔhÃúˆÃ¾Ùa}@Õ€ &ž L¼Fœ yä¨4ð!Ä Š ~=áÆ‡ ´¶ µÎF RÊ l ¾ HƒK y‚ AðãK®ì†Ó Ú ç' á ù ã Ÿ„/ ˆg tŽ ŽoKyŽ8Ch"è£ø2 žœ0žŸ f~~~ŸÉ‚ §m"> 2³w–>Chapžx 3 PaulÍcCartneyâeltƒhout Can'tÂuyÍeÌove Chap—94 th Chap†y5 Chap€H 7 S–耡a ð½Ø¾øung‰@'ÀPerhapsíy l>Ì>Ì T FÒFô µ FÚ G G >Ì G Fø >Ì>Ì5 FçFâ >Ì Ç Fø >Ì S » v)~ z>Ì »4 ¸ \>Ì >Ì >Ì>Ì>Ì õ æ/² v)~ zFþ$ T>Ì ¶ ¡>Ì £ >Ì5 Ç>Ì #Õ º v ¥>Ì >Ý>å>á>ã ºH v>Þ>Þ ¥>Ì $ T>Ì >Ý>å>ä>Ý ºH v>Ì >Þ>Ü>Ý>Þ ºH v>Ì >Þ>Ü>Ý>Þ ºH v>Ì >Þ>Ü>Ý>ß ºH v>Ì >Þ>Ü>Ý>ß º>Ý>Ü v>Ì >Þ>Ü>Ý>à ºH v>Ì



Gestionweb213 Author On Focus Management Immobilier Page 2 Of 6



Completing The Square Step By Step Chilimath
‰HDF ÿÿÿÿÿÿÿÿ¬Å 01a–}OHDR %ñ` íX %ñ` íX‰ " À R x IÕ g 1 o'J£FRHP ÿÿÿÿÿÿÿÿ½³ 1 ( O j ©kBTHD d( 1¯ ÁóBTHD d( 1q dFSHD½ Px( ×Ä kkÛ#Ô0BTLF z ·Eèç ± G€ ë D/ !3> ¼@ qB ÁD 'óF öH 6EJ ¡L C«N J P RyR Z T aiV hÜX péZ w \ ^ † Éc О Øj Þò å¡ " ìB $ òˆ & ùÚ ( # * = , Ø l 0 ß 2 !p 4 (' 6 /µ 8 6£ =?ö T E ^ C û q b ¥ V "@ v b "á ì 0{ q ö ì'¼ È C æ _2 "© W ~ q 6 &k ² í ó ° #' K r M 4(2° ¦ b%



Python Math Find The Roots Of A Quadratic Function W3resource



Use The Data Given Below To Construct A Born Haber Cycle To Clutch Prep
T u  é u O þ o Ô ¤ ¢ é M Ù ô M ³ & ö C } O g x I ¬ t u Â é ³ & u O Í Þ ½ ó T þ o Ô ² c S y 0 Q p z S t u  é u O Ü ¤ à Å é ª = ¢ # Ü ¤ ¤ í ì r Z î ¥ ó T þ o Ô ² c S y 0 Q p z S t u  é W V n q O Õ ë à ½ y ® T v n q z ö ¾De ‚ñó„è="1"æac€PTimes,óerif">o 33ĉøK äufŠ8drucktõndö‡@eiltÁus€ºeŠ¿Š¸anŠ²ŠŠ Š}ŠKŠGeŠ '€ƒINDXÀ ð ýéÿÿÿÿ ÀTAGX, @ 3 IDXTìINDXÀ ì ÿÿÿÿÿÿÿÿ 0oî ,Á€€ƒƒ 1 ¯ Š€ 2 CÏ8ù€ 3 Í $â €IDXTÀËÕ߉Titelbild¢Eine Publikation von Black LibraryT õ Ò À b p õ ò ;



If A 2 3 3 B 2 3 5 C 3 N 5 And The Lcm A B C 2 3 3 2 5 Then Find The Value Of N Brainly In



Answered C If H X F X G X What Is Bartleby
T\¶ D\¿\ö\õ dS\ü ª\Ø ¸ ¼\Ñ \Á\É\ì\Ø\ 3 /\Ø dS\â\Ø ~ t\¶ D\¿\ö\õ ¹ µ\Õ\Î\®\Ð\Ù ª\ü À ¸\Á å ´ ※ « è µ ð Zc ¹ µ ³ \Ù ñ ® cS a Þ Ã ç U \ Æ Â6'*V\ \Á\N\ø ë Ä û *>& g* >'4 (Ô)z Ý î º ¦ > ì b Ø < x)t â ² c ô ú \Ø ÷ d ´ ²\Õ\´\»\õ ^ h Ö o\Õ\Î\®\Ð b 9 « è c b c ` Ý ñ ® kwwsv zzz rffwr ru ms uhqnhlvhqul\rx rvkludvh ilohv bnhqwrxmrxnhq sgiTdálign="right">73 €0r€0€d>  €¿€¿ãolspa‚Ø2"ƒlefƒ GETTINGÁHEAD;‚œ„W„T‚·ƒo ‚SƒÖ†Gƒ ƒÑ>AÓketchÆromÌife €‡€„div



Chemical Principles Final Exam 2 Flashcards Quizlet



If The Velocity Is V 2i T J 9k Then The Magnitude Of Acceleration At T 0 5 S Is A 1m Brainly In
ðwidth="0" Ecenter"> LUCASÂUCH NUEVOS MEDITERR à NE€˜íh2ˆ ˆ ˆ ˆ ˆ DESCUBRIMIENTOSÑUEÃAMBIANƒELÐAISAJEÄEÌAÖIDAÉNƒØIOR,„Z€ËMANO !SANÊOSEMAR à AŠ·ŒÂ ·Ž§Ž§Ž§ — — — — — — —> ©Ãopyright 18 Ïficinaäe  Informaci ón€ˆl  Opus  Dei Pwwwo€˜deiorg à NDICEHomesickness 1818 Zosta„Øredaktoremîaˆ lnym†Êraham†·†´ˆhFiladelfiiÕkazuj ÄóŠ`Úab ójstwoðrzyòueÍorgue Wðiam²¸lson To€ùmoîaíejärodze?‚ òheight ü‚_‚_‚ZWÃhamberlayne, sanctum 3!Title34_ M&_ M1BOOKMOBI}> @$À ,F 3f 9 @A Fí N UP \Þ dà lL sº {š ƒm ‡ ‡ ˆˆ"‰ $ŠD& ñT( d* ", ¸ ä0 ü 2 é6 ñ8 &q C 4Î> ;Œ@ B#B IED P F W/H ^'J f L n*N uÒP }sR T ŒðV 'hX 'iZ 'a\ "Á^ "Ñ` "Åb •¥d –¡f —¹h ˜mj ˜'l ˜µn ˜áp œ5r œ=t ¥!v Lùx M z M& Ø5 MOBI ýé¿yYN



Profiles Of Amplification Factor S For A O B O C O D O E Download Scientific Diagram



Solving Quadratic Equations By The Quadratic Formula Chilimath
ý ö M pT ·\FP 0 ± c T ·\FP 0 ± c T ·\Ò Ü B c Í FP c\µ\¾ "û 0 ± c\µ\¾ "û 0 ±cU;d T ·\FP 0 ± cU;d T ·\·c Í FP 0 ± cU;d T ·\Ò Ü 0 ±c ë ¼ Ä\è\É\Ù\ â ó Ä õ ö \µ 0 ± ¼ \µ 0 ± ¼ c ë ¼ Ä\è\É\Ù\ â ó Ä õ ö Á\Ã\ôMorteza_and_le_AristocratsZ` IZ` KBOOKMOBI ‰ ˜(Ð ³ 3þ ¹ C" K R Zà b¿ jb r„ zÑ ‚k ˆ¯ ŒÉ ß —œ"Ÿç$§&®¡(µ*½i,ŎͶ0ÕF2Ý\4äÏ6ì



Converting A Quadratic Function From Standard Form To Vertex Form Completing The Square Youtube



Section 10 5 Page 506 Objectives Use The Quadratic Formula To Find Solutions To Quadratic Equations Use The Quadratic Formula To Find The Zeros Of A Ppt Download
¢ s Õ d ¶ Å h P 6 è { ï è V L ¼ L è É Á h P 6 ® ®E$ > K§ @ RÉ B Z D a F hÆ H oÈ J v& L {Ú N ‚ý P ‰Ç R TLPy_Chua_TPio_Ngai_Im_LLng½d"½d"BOOKMOBI C¡ X(L ì 3í ;à D/ M Uš ^z f¸ o wÆ €I ˆ¡ ë ™Œ ¢( ª/"²q$ºÒ&Âû(Ël*Ów,Ûiã¦0ëÝ2óì4ûù6 Q8 ° ý



Data Is Collected For The Gas Phase Reaction 2 A B Chegg Com



O Calming Gel Travel Size Le Mieux Cosmetics
SHABELSKIæollowsèimïut „ˆ„o„i ‡è‡Ï‡É   "Sparrow, €N‰Ø¢i¿Ë?" €Êxmlèce="preserve tt>  € *Ô„ègameðlayedésöin‡(tT « ¸ ¹ ñ ½ { ( ¼ L h P 6 × K { !()OOODÎëê Oß Ò05 ‡@›Ô™JFù7ˆ8Ì Ð'»É ¤ÜO oÁ óØå‰W~RaóS_£Í ûôÓqs0 P d®ATÓ4 ˜¨¨ˆoÔáp×úù¥H ™TÕ¯ïbb Zl hO v,#hö›¨%skHÖž{Úö Œ´Ñ_Fû ¿ ó«vY³°° ¹% ±îêii¹ÌÄ 9>Vt3 t Ä©M



Amazon Com Amazon Basics Usb Type C To Usb Type C 2 0 Charger Cable 6 Feet 1 8 Meters White Computers Accessories



2
ª€8imgòecindex="‚i1" ht=""/ 0/ à€> ˆ Ve—@fulÓpi²8, šðn>C¸pn£¿™B¹ d ˜Àn>Br˜ ¶¦E Qh¶Ü Click®¨› º¨buy €—€" ‚ñóize="1T v M j n q z § ê » ² C O Q } v U O q ® b j § ê » ² C ô ê v o O q ( v Ò , ) v ~ ² C ð ¬ b ë 0 & u I N s u Q T d } j / j § } v 2 d u ¤ × V y a v o O q ¥ ð v ð ¬ d Q T d } § ê » ² C è Q c v U O q § ê » ² C y Q y ® u v Æ ô v # Í d BENEDICTOØVI‚öh2> ENC à CLICASƒÿ1ƒÿƒÿƒü‰Ç‰Ç‰Ç‰Ç‰Ç‰Ç‰Ã‹Ö0‰§‰§‹¿‹½CartasÅnc Ãclic€`Deus  cari€è  est Textosôomad€@de‡ wwwvat‡ n€@†ù 1  JnLibr„élÄeuteronomio Qæace="Georgia€¨i> «Eros »ù «agap é»,ƒcia€Èunˆ' 3̇0antigu‡xgrieg



If The Sum Of The Roots Of The Equation Ax 2 Bx C 0 Equal To



Can You Express Math 7 5x 2x 2 Math In The Form Of Math A B X C 2 Math What Is The Greatest Value Of The Expression Quora
Title æ é æ æ °æ 0xls Author wakita Created Date AM4 '–4¤" ¥ h_I ¤åoy W–n"øïJ m) ›ÄÒ æJ¶eÇ ð ýÞ¿H Íܹ³œmΜsîHF !$ WWTVQ;©Ÿ!„SAssessorãapacityándêudgment) ˆîumb 8 ˜steps â€"suˆ as€€ `g ˆÉrain"y'àŽ 'Ëup Iamñ" – † trol"1draftÍ"ûE"þÒ† rtƒiŽŠal‚ dyŒ0‰¹ak‰éo„ ë‚ý•k‰¸€ncy'å‹ÿ ޏcš°ÍoreŒù, ' ce"ºtœ¸tableæ"™'qewò—ðd˜Áš_š^ˆAtch˜Ð Y'»ximatelyó—Ðnùear˜ø—–ž —¶™¦™Ÿ‰2



How To Type A Squared Symbol Quora



Introduction To Quadratic Equation Standard Form Examples And Videos
` T 0 y @ Æ Á Ã ª ¢ Ç ç ¢ ñ ` T Ì í y & T T µ Ä Ü Ä ¡ Á ê Ñ ã , ` T ª ¢ Ç ç ¢ ñ ô ` T è ® ª ¢ Ç ç ¢ ñ y ® v z ~ Õ v Ø ² C è Qû ý ³ ² Û t ë ) ù G ¥ ´ Û Ê Õ ³ Ñ ´ Ç Ð u ü ¥ ¡ Í ¡ % ´ È Û » Õ t s Ò x ³ Ñ ´ Ç Ð u ë ) ù ¸ ~ Ñ Ó Ë { I Õ ¯ Ô ° t È â Â K s Ò x ³ Ñ ´ Ç Ð u Ê Ò Õ ¨ 8 ´ ® ¯ t È Û5/ ä , ù e ¿ À ç M Ó ü Ä A ò ;



How Do I Type Or On An Apple Keyboard International English Layout Ask Different



Investigation 4 Quadratic Equations The Quadratic Equation Is Typically Written In The Form And Has The Homeworklib
6 $;8 ,û 6 ?Á> I @ RNB Vœ > W" @ ˜ B ^ D _ F `¨ H a J bd L bx N cx P eT R g´ T gØ V gü X h0 Z ˆ¤ \ mœ‡ MOBI ýéöš\YS¿˜° URL¡ø€£ ¤'¤'¤"mess¦ð³€q¯pynŠÎ/½R½ ¥0m† '˜liž ž ª ©#p„¦Link³p „*1ô ^Ú xrà I4Ù® HÊ)ä *ÌK²5 ‚ ØöD&Ð "vSõ¨^7Šdf!É8Å^ªÓG)˜€@è e TWGlL@ Ó#¸!ÊJ 2)¦Ig A^™44$šw ¼ $žx©VÑ Ë ÇÞ l m~ÇŠš„• ·r© ;µÀÀ# aˆ Iì* À@Y U4É®Uã*½N0 0 gcgqge g0gygmfø !fþ0 s4 !0 gcgqge g0gygm0 fþ p6ëfû !



Int X 3dx Sqrt 1 X 2 Is Equal To A 1 3sqrt 1 X 2 2



A Brief Introduction To Logic Part I 1
² C ¾ i ¤ ¸ L ¥ ³ ñ Õ é ò L ® q n X y q O l Z u W ` r G s z V X V S ² C ¾ i ¤ ¸ L ¥ ³ ñ Õ é ò L • o Ï y o y v û f ^ s > y ¦ VB™ š¢PARÁRNAUDÄ'ANDILLY,Íel„ˆ 0MAUPEOU,ÄOMÌAÔASTE,Ì'ABB ÈÃHANUT,Ö ¸EFOR€Ø€˜PPEDELIGN‚`FÆ Ã‰LICO HJÁÅMERIƒ0‚L ‰ÃENATƒR ¤ ß / J ¬ s M U Y s O y Q S ¼ L è É Á h P 6 ü { c Í â ¦ ê I ¸ « ¸ è ¼ L ¸ ê 4 ö ( ¼ L ¸ è õ h P 6 { ð ² b Q ö ^ ?



How To Find The Missing Sides And Angles Of A Triangle Pythagoras Sine And Cosine Rule Owlcation



How To Type A Squared Symbol Quora
\ H3Þ h > ?K C H 8 S T A r M >8ª 8 8 S K r M d ¦ p c ^ _ ?C è ô A Ó Y @ ô ` æ l Y ÷ B O Ó Ð M p ü Ä A c è ö M p ü Ä A ¤ d 23 Ð6 2 è $ M p ü Ä A d 34 2 è !



How To Balance C O2 Co Youtube



Powers Of Zero Video Khan Academy
Pg> tG@ u?B vÏD w"F x‡H zgJ {OL N P } R ~_T WV sX —Z Ë\ _^ g` ŠSb Y d ¸ f ¸Ih ¸Uj cÓ MOBI ýé¢Ô–mPds_version_id = pds3 file_name = "rimq" record_type = fixed_length record_bytes = 48 file_records = 878 label_records = 1 ^image = 2 spacecraft_name = marsG R S õ ² C ° / R ± S õ ² C { v M j n q y Ü ³ { ¹ { { 3 Title 1110 è¨è¨ ã »å»ºè¨æ §è ½è© 価å å¾ ã «ã ã 㠣㠦㠮æ é æ¯ è¼ xlsx



Completing The Square Video Khan Academy



C O Y To C 1 None Of The Above Question 10 Find Chegg Com
® é Õ Ì ¼ 2 È Ö È Î O X O X Û ¢ ñ Æ ® é Õ Ì ¼ 2 È Ö È Î Title いきいきうじな(裏面) Created Date 5/9/21 PMT/tr ¡€* Ï É> BlackïrÁfricanAme€J €0r€0€döali Ytop"> TBI €0r€0€dö \ ¹>Highestðayçrade/rank (E1–E4ïmitted)‚‚'ƒßƒß> È00A0;ƒïƒïƒïƒé E5„ 9



The Parabolic Gate Shown Is 2 M Wide And Pivoted At Chegg Com



How To Find An Angle When The Equation Of Three Sides Of A Triangle Are Given Quora



Warm Up Find The Difference 5x 4x 3x X Ppt Download



Solving Quadratics By Completing The Square Article Khan Academy



Factor Completely C 21 Select The Correct Choice Chegg Com



How To Graph A Quadratic Equation 10 Steps With Pictures



Answered 1 Let A And B Denote Two Vectors Try Bartleby



Activity 41 Am Quadraticlll 0 See How To Solve It At Qanda



C Program To Test If A Number Is A Power Of 2 Source Code



Answered X 5 X 2 Select The Polynomial Bartleby



1



How To Graph A Quadratic Equation 10 Steps With Pictures



Spelsberg Wk 007 2 5qmm Junction Box Wk 007 2 5 Gray 80x80x38mm Industry Electronics



How To Balance C O2 Co Youtube



2 3 Tangent Plane To A Surface Mathematics Libretexts



Answered Oving To The Next Question Prever On 4 Bartleby



How To Solve X 2 6x 16 Study Com



How To Square A Trinomial Video Lesson Transcript Study Com



Solved A And B Are Square Matrices Verify That If A Is Similar To B Then Is Similar To B2 If A Matrix A Is Similar To A Matrix C Then



Synthesis Of 4a C Aminoalkyl 2a O Methyl Modified Rna And Their



What Are The Coefficients A B And C Of The Parabola Y Ax 2 Bx C That Passes Through The Point 3 13 And Tangent To The Line 8x Y 15 At 2 1 Quora



Find The Matrix Representation Of T Relative To The Bases B And C T P2 C3 Homeworklib



What Is The Formula For A B C Quora



The Area Of A Rectangular Table Top Is 24 Ft The Length Of The Table Is 2 Feet Longer Than Its Brainly Com



How To Take The Derivative Of X 2 Steps Tutorial Video Lesson Transcript Study Com



Oxygen Wikipedia



Data Is Collected For The Gas Phase Reaction 2 A B Chegg Com



Squaring Binomials Of The Form Ax B Video Khan Academy



How To Prove That A B C B C A C A B 8abc A B B C C A Quora



Question 8 Of 30 Which Of These Ions Is Isoelectronic Chegg Com



How To Solve Surds 2 Four Essential Surd Techniques Suresolv



Direct The Titles To The Boxes To Form Correct Pairs Not All Titles Will Be Used Match Each Set Of Brainly Com



Solving Quadratic Equations Harder Example Video Khan Academy



How To Find The Missing Sides And Angles Of A Triangle Pythagoras Sine And Cosine Rule Owlcation



8 Which Of The Following Can Be Used To Solve For Gauthmath



Write The Electronic Configurations Of The Given Ions A H B Na C O D F Brainly In



Standard Form To Vertex Form Without Completing The Square Method Algebra 2 Youtube



A Her Polarization Curves B Required Overpotentials To Produce Current Download Scientific Diagram



Completing The Square Formula How To Complete The Square With A Quadratic Equation



Extracting Square Roots



Solve Quadratic Equations Using The Quadratic Formula Elementary Algebra



3



How To Complete The Square In The Form A X B 2 C Find The Vertex Youtube



The Formation Of The Oxide Ion O From Oxygen Atom Requires First An Exothermic Neetlab



8 G Of O 2 Ion Has Amount Of Charge Equal To N A 6 02xx10 23 E 1 6xx10 19 C



Overview To The Syntheses Of 1 2 3 4 And 5 Through The Reaction Of Download Scientific Diagram



Equation Of A Tangent To A Circle Analytical Geometry Siyavula



How Do You Find An Equation Of The Tangent Line To The Graph F X X 2 2x X 1 At 1 6 Socratic



Answered Question 4 The Graph Below Corresponds Bartleby



Rd Sharma Solutions For Class 10 Chapter 8 Quadratic Equations Exercise 8 6 Avail Pdf



How To Calculate Square Feet Using One Easy Formula 21 Bungalow



How To Find Protons Electrons For The O 2 Oxide Ion Youtube



Q Tbn And9gctc1txwdxrjqx9uj6snp Hbnl0 7bheyzphm9lrmcrm Rzmrcrd Usqp Cau



11 Find The Area Of The Regular Polygon Round Gauthmath



Price Per Square Foot How To Figure Home Values



The Neutron Electric Form Factor To Q 1 45 Gev C Unt Digital Library



How To Calculate A Square Root By Hand With Pictures Wikihow



How To Type The Squared Symbol On Your Computer Or Smartphone Tech Pilipinas



Answered Data Is Collected For The Gas Phase Bartleby



Triangle Abc With Vertices A 2 0 B 2 0 C 0 2 Is Similar To Triangle Def D 4 0 E 4 0 F 0 4 Brainly In



1



If A B C 15 And Ab Ca 74 Find The Value Of B2 C2 Brainly In



How To Type The Squared Symbol On Your Computer Or Smartphone Tech Pilipinas



4 2 Formula Mass Percent Composition And The Mole Problems Chemistry Libretexts



How To Type The Squared Symbol On Your Computer Or Smartphone Tech Pilipinas



Profiles Of Amplification Factor S For A O B O C O D O E Download Scientific Diagram



Derive Quadratic Formula Chilimath



Mathematicians Discover The Perfect Way To Multiply Quanta Magazine



980 Pro Pcie 4 0 Nvme Ssd 1tb Memory Storage Mz V8p1t0b Am Samsung Us



How To Use The Excel Devsq Function Exceljet



Euclidean Distance Wikipedia



Infosec Is A Leading Security Training Company To Deliver Highly Valued Information Security Isc C Security Training Training Courses Cybersecurity Training


コメント
コメントを投稿